転職プラットフォームの理想を思考してみる
概要
最近はエンジニア転職サイト多すぎです。50サイトぐらいあるらしいです。
採用する側、採用される側の考えは「全サイトがまとまって1つになってほしい。」
転職メディアがこんなにも乱立していたら、**採用する側も採用される側も手間が増えてしょうがない!**短期的に儲かる市場にプレイヤーが増えるのは必然ですが、過剰供給な感じです。
そもそも理想の採用や転職のモデルってなんだろう?と思ったので考えを整理してみます。
システムを使った単純な採用ユースケース
すごい単純にユースケースを書くとこんな感じです。

システムを使った採用ユースケース
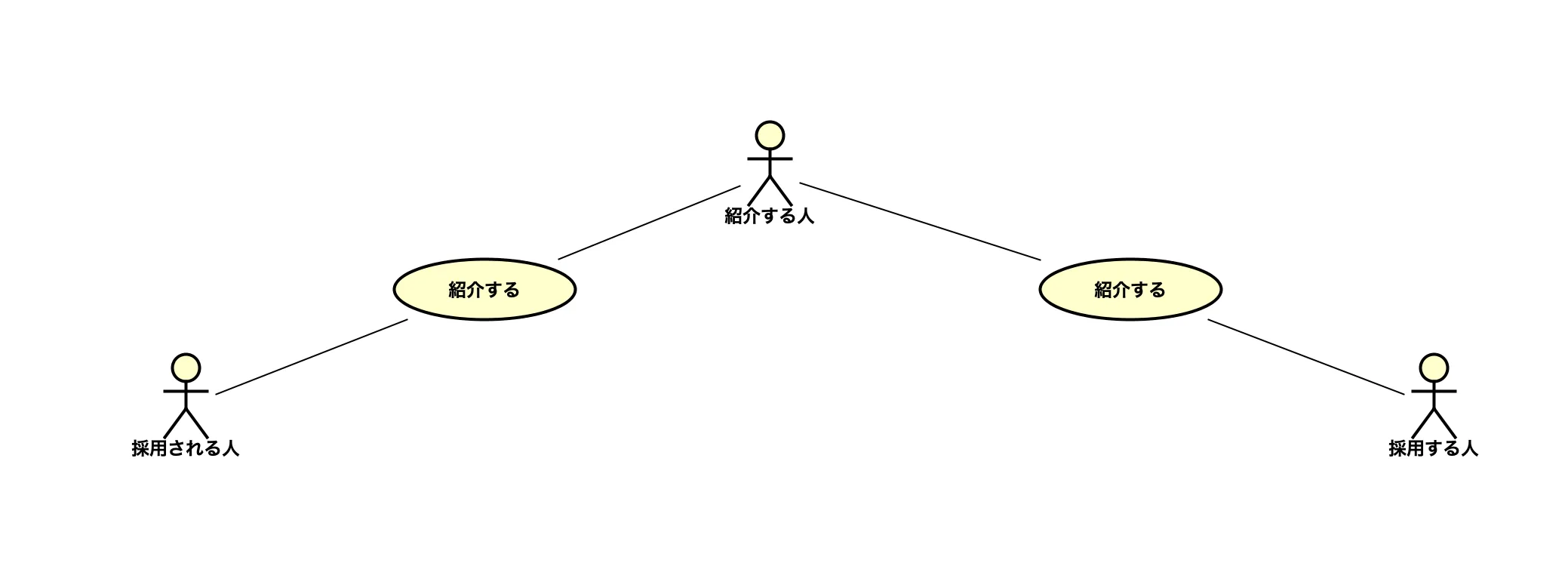
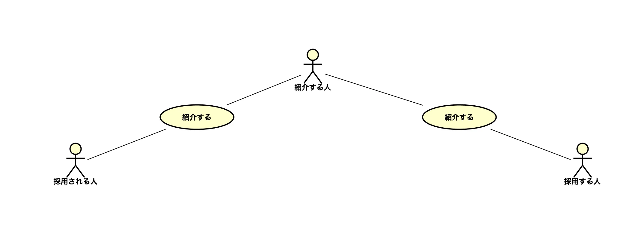
もうすこしユースケースをブレイクダウンしてみます。
昔からある採用メディアはこんな感じです。このシステムが世の中に1個または3個ぐらいしか存在しない世界では両サイドの人はハッピーな状態です。
プラットフォームは乱立することでプラットフォームの価値が減ります。

重要な採用はシステム外で起きている
別の議論にはなりますが、立ち上げ初期のコアメンバー獲得、チーム作成、過去に一緒に仕事がしたことがあってマッチングがぴったりな人を採用するといった重要な採用はシステム外で起きている割合のほうが多い気がします。
システムは登場しないです。デジタル上に情報が上がってこないから顕在化しないというデメリットがあります。

もちろん、それをオンラインに載せた紹介プラットフォームも1つの転職サイトとして存在しています。しかしながら、「紹介する」のトリガーがオンライン上では存在しないのであまり活発ではありません。

オフラインなどで行われているコミュニケーションがトリガーとなって紹介は発生している気がします。それに、トリガーを握っている紹介する人にとっては、オフラインで紹介出来るのにオンラインでやる必要は無いのでワークしません。
次に来るモデル
色々なモデルが試されていて、結構行き詰まっている感はあります。広告、プラットフォーム、pull型、push型、紹介など。
今までにないのは、ゲーミフィケーションぐらいかなと思います。

と思ったら、ありました。テクスカ。
スカウトメールを見るとお金をもらえる、知り合いを紹介するとお金をもらえる。面接するとお金をもらえる。プラットフォームとしてはコスト計算が非常に難しいし、集客は大変ですけどもともとアービトラージがあるマーケットなので自走できるようなエコシステムを作ったらワークする可能性があります。
まぁ、すごい冷静に見るとスカウトメールを読む事自体にも時間をとってるし、会社説明を聞くだけでも時間を撮っているのでまっとうかと思います。それがワークするのは 採用される側>採用する側というパワーバランスの時かなと。
マッチングの精度が上がれば、採用される側=採用する側となるはずなので是正されるかな。でも、あまりPDCAが回りづらいところではあるので難しいかも。
お金の流れは違いますが、使っている技術や機能などはマッチングアプリが類似しているなぁと感じました。Tinderみたいな感じのサイトが登場するのかもしれません。
海外ではLinkedInがメジャーな採用プラットフォームとして稼働しているので日本のような問題は起きないのかなと思います。このような状態は日本マーケットだけなのかな。。。?


